Libyan Civil War (2014–present) - Wikipedia
159 69 3 193 1995 International 4700 Wiring Diagram Free Picture - If you can't find the International Medium / Heavy Truck Repair Manuals, International Wiring Diagrams, Interational Truck Code Readers, International Diesel Scan Tools, or International Diesel Engine Diagnostics Software products you need please call us at (989) 839-4877. The Chilton Repair Manuals shown below cover IH Medium/Heavy Duty Truck, Scout, Travellall,. March 2012 UDC3200 Universal Digital Controller Product Manual 29 Installation If the load current is less than the minimum rated value of 20 mA,. If you need Switches, Relays, Wiring & Components at low prices, shop now at AutoPartsWarehouse.com! We have a wide range of Switches, Relays, Wiring & Components..Librivox Free Audiobook. Spirituality & Religion Podcasts. Featured software All software latest This Just In Old School Emulation MS-DOS Games Historical Software Classic PC Games Software Library. Full text of "integratedCircuitSystems :: 1995 Integrated Circuit Systems Data Book". Timing Belt Replacement in Reno Nevada In order to avoid a broken belt and serious engine damage, most manufacturers recommend a timing belt replacement between 60,000 and 90,000 miles. Reno Vulcanizing Auto Care & Tires operates three convenient shop locations in the Reno Sparks region, serving drivers throughout Washoe and Lyon counties as well as Carson City and. Urban Intersection Design Guide 2-3 TxDOT 7/7/2005 Section 1 Modes of Travel Overview There are many different modes of travel at an intersection including the following: ♦ motorized vehicles, ♦ transit and light rail, ♦ bicycles, and ♦ pedestrians. Characteristics of each of these users are discussed below. Motorized Vehicles.
NOTE: Free shipping offer does not include oversize, overweight or truck freight items. Applicable shipping fees will be applied. 5% & 10% discounts do not apply to. Sep 18, 2013 · Make sure your battery cables are newer and free from any corrosion down deep in the wire under the insulation. possibly a bad ground wire. It would be useful to obtain a wiring diagram in order to trace it properly. so ive got a 1995 F-150 and ive replaced both the regulator and alternator and ive used several batteries big and small. 1995 Chevrolet C1500 Owners Manual Free Downloa 2009 Volvo Truck Wiring Diagram Electrical Manual Fm Fh Service Manual For International 4700 Kindle Touch Operating Manual Seloc Yamaha Manuals Free 2001 Arctic Cat All Models Atv Service Repair Factory Manual.
We've got the world's largest selection of Porsche Parts and accessories. We have Porsche Parts for 911, Carrera, 914, 356, 944, 924, 928, Boxster and more.. Telephone Collectors International was incorporated under the laws of the state of Kansas on May 13, 1986. The goal of the organization is "to educate the public, as well as the members of the Corporation, regarding the history of telephony, the value of old telephones and related items, their collectability and preservation; to research telephone history and publish and provide literature. Browse our inventory of new and used CASE IH 1394 For Sale near you at TractorHouse.com. Page 1 of 1.
Venn Diagram On Plant And Animal Cells Pl Sql Developer Diagram Window Gm Parts Search Diagram Mile Marker Hydraulic Winch Wiring Diagram 02 International 4300 Wiring. Browse our inventory of new and used INGERSOLL-RAND 185 For Sale near you at MachineryTrader.com. Page 1 of 1.
Wiring Diagram For Citroen Xsara Picasso Radio
29A6CC4 159 69 3 193 2 0t Engine Diagram | Wiring Resources
29A6CC4 159 69 3 193 2 0t Engine Diagram | Wiring Resources
Wiring Diagram For Brake Proportioning Valve
Sustainability | Free Full-Text | Sustainable Supply Chain ...
Sustainability | Free Full-Text | Sustainable Supply Chain ...
Wiring Diagram For Furnace Control Board
29A6CC4 159 69 3 193 2 0t Engine Diagram | Wiring Resources
29A6CC4 159 69 3 193 2 0t Engine Diagram | Wiring Resources
Wiring Diagram For Fender Bass
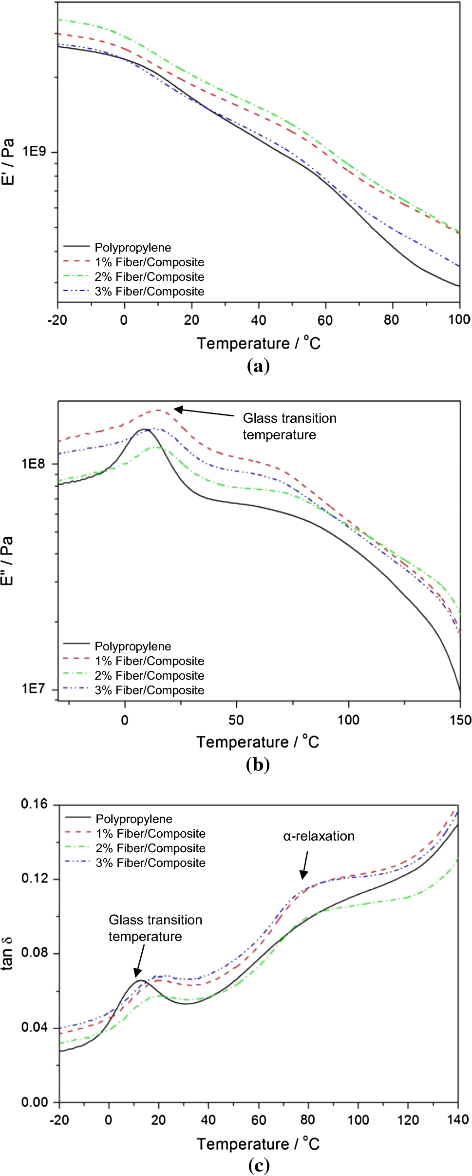
A review of natural fiber composites: properties ...
A review of natural fiber composites: properties ...
Securely Verified