Engineering mechanics by ferdinand singer 3rd edition solution ... Engineering mechanics by ferdinand singer 3rd edition solution manual by WilliamGrossman4824 - issuu
Engineering Mechanics By Ferdinand Singer Solution Manual - It has been stated by various experts that one of the primary goals of an engineering education is to make the student familiar with where to find the analysis and solutions of various problems, most of which have already been done by someone else.. Keywords for The Engines of Our Ingenuity If you use Netscape or Microsoft Internet Explorer, pull down the Edit menu and use the Find function to search this file.. His father was the musician Vincenzo Galilei. Galileo Galilei's mistress Marina Gamba (1570 – 21 August 1612?) bore him two daughters, (Maria Celeste (Virginia, 1600–1634) and Livia (1601–1659), both of whom became nuns), and a son, Vincenzo (1606–1649), a lutenist..33000+ free ebooks online Did you know that you can help us produce ebooks by proof-reading just one page a day?. A Transrealist Manifesto. In this piece I would like to advocate a style of SF-writing that I call Transrealism. Transrealism is not so much a type of SF as it is a type of avant-garde literature.. ภาษาอังกฤษในยุคนี้มีความสำคัญมากพอๆกับภาษาประจำชาติเราไปแล้ว ดังนั้น Nationejobs จึงไม่หยุดที่จะหาสิ่งดีๆให้กับสมาชิก ด้วย.
International Truck Dpf Wiring Diagram
Apex Learning Answer Ley Precalculus - Video Dailymotion
Apex Learning Answer Ley Precalculus - Video Dailymotion
Iphone 4 For Dummies Manual
ENGINEERING MECHANICS-Solution Equilibrium Prob 308-361 | Truss ... ENGINEERING MECHANICS-Solution Equilibrium Prob 308-361 | Truss | Crane (Machine)
ENGINEERING MECHANICS-Solution Equilibrium Prob 308-361 | Truss ... ENGINEERING MECHANICS-Solution Equilibrium Prob 308-361 | Truss | Crane (Machine)
Interior Fuse Box Fiat 500
Engineering Mechanics By Ferdinand Singer 3rd Edition Pdf | realcalinap Engineering Mechanics By Ferdinand Singer 3rd Edition Pdf
Engineering Mechanics By Ferdinand Singer 3rd Edition Pdf | realcalinap Engineering Mechanics By Ferdinand Singer 3rd Edition Pdf
Introductory Technical Mathematics Solution Manual
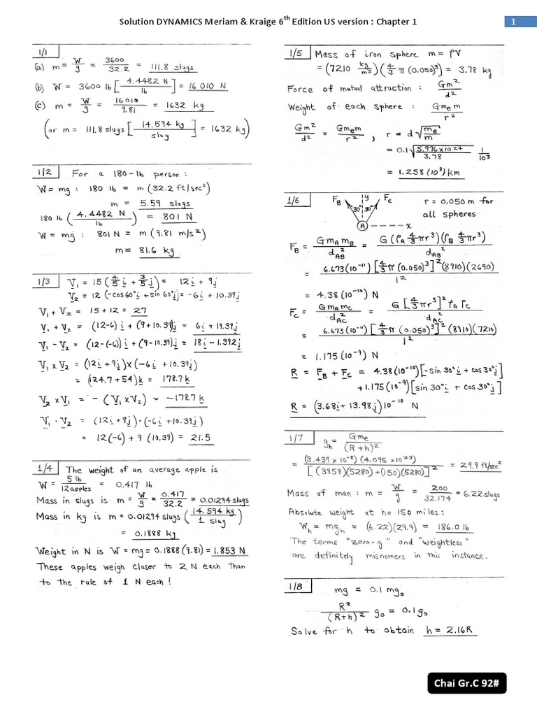
Engineering Mechanics Dynamics Solution Manual 6th PDF | Engineering
Engineering Mechanics Dynamics Solution Manual 6th PDF | Engineering
Securely Verified